Revista IECOS, 26(1), 135-151 | Enero-Junio 2025 | ISSN 2961-2845 | e-ISSN 2788-7480
INCIDENCIA DE LA SALUD MENTAL EN LOS PATRONES DEL COMPORTAMIENTO DEL CONSUMIDOR: ANÁLISIS DE TEORIA DE JUEGOS
IMPACT OF MENTAL HEALTH ON CONSUMER BEHAVIOR PATTERNS: GAME THEORY ANALYSIS
Fausto Danilo Erazo Guijarro
1,
Adriana Herrera Granizo
1*, Cristopher Herrera Granizo
2,
Natalia Herrera Salazar
1**
1Universidad de las Fuerzas Armadas, Pichincha, Ecuador
2Universidad Nacional de Chimborazo, Chimborazo, Ecuador
E-mail: 1fderazo1@espe.edu.ec, 1*adriyamiletenero1@gmail.com, 2cristopher.herrera@unach.edu.ec, 1**neherrera1@espe.edu.ec
1https://orcid.org/0000-0002-8628-8898, 1*https://orcid.org/0000-0001-5090-5981, 2https://orcid.org/0009-0007-5095-5576, 1**https://orcid.org/0009-0001-5387-9763
https://doi.org/10.21754/iecos.v26i1.2433
Recibido (Received): 05/12/2024 Aceptado (Accepted): 20/12/2024 Publicado (Published): 31/03/2025
El estudio de la influencia de la salud mental en el comportamiento del consumidor, a través del enfoque de la teoría de juegos, demuestra que la disposición inicial de los consumidores a tomar decisiones seguras es fundamental para lograr una estabilidad en sus elecciones. En contraste, los individuos que padecen trastornos de salud mental muestran una demora específica en sus decisiones estratégicas. El estudio evidencia que es factible disuadir a los consumidores de adoptar conductas inseguras a través de incentivos positivos, como bonificaciones, y negativos, como multas, con una sensibilidad equiparable en ambos casos. Asimismo, la eficaz gestión de la reducción de riesgos de efectos indirectos promueve una pronta adopción de conductas seguras por parte de los consumidores. Los resultados encontrados proporcionan directrices significativas para la administración de la seguridad del consumidor. Se presentan recomendaciones prácticas desde distintas perspectivas: la del consumidor, la de los participantes del mercado y la del entorno de seguridad para consumidores con problemas de salud mental. En conclusión, el estudio propone una vía hacia un ambiente seguro para los consumidores que resulta beneficioso para todas las partes implicadas.El propósito es disminuir comportamientos de riesgo y promover un ambiente seguro, estableciendo un ciclo favorable de seguridad. La metodología utilizada en la investigación integra el análisis evolutivo de un juego con la evaluación de la estabilidad del sistema, lo cual establece un fundamento sólido para la comprensión y el abordaje de esta dinámica compleja.
Palabras claves: Salud, Consumidor, Seguridad, Comportamiento, Incentivos.
ABSTRACT
The study of the influence of mental health on consumer behavior, through the game theory approach, shows that the initial willingness of consumers to make safe decisions is essential to achieve stability in their choices. In contrast, individuals suffering from mental health disorders show a specific delay in their strategic decisions. The study shows that it is feasible to dissuade consumers from adopting unsafe behaviors through positive incentives, such as bonuses, and negative ones, such as fines, with comparable sensitivity in both cases. Likewise, the effective management of risk reduction of indirect effects promotes early adoption of safe behaviors by consumers. The results found provide significant guidelines for the management of consumer safety. Practical recommendations are presented from different perspectives: that of the consumer, that of market participants, and that of the safety environment for consumers with mental health problems. In conclusion, the study proposes a path towards a safe environment for consumers that is beneficial for all parties involved. The purpose is to reduce risky behaviors and promote a safe environment, establishing a favorable cycle of safety. The methodology used in the research integrates the evolutionary analysis of a game with the evaluation of the stability of the system, which establishes a solid foundation for understanding and addressing this complex dynamic.
Keywords: Health, Consumer, Safety, Behavior, Incentives.
1. INRTODUCCIÓN
La naturaleza de la conexión entre la ansiedad y la depresión ha sido objeto de un intenso debate. En los últimos 15 años, se ha analizado la investigación en el contexto de tres modelos conceptuales: (a) la ansiedad y la depresión se diferencian en términos cuantitativos, (b) la ansiedad y la depresión se diferencian en términos cualitativos, y (c) los síndromes combinados de ansiedad y depresión, conocidos como depresiones ansiosas, difieren tanto en términos cuantitativos como cualitativos de la ansiedad pura o la depresión pura (Maina et al., 2016). Se han explorado áreas clave de investigación, como la fenomenología, el tratamiento, el curso y el resultado, y se han revisado los hallazgos que respaldan cada una de estas perspectivas.
Tras la crisis provocada por la crítica incisiva de Mischel (1968) a los enfoques de los rasgos, el campo cobró nueva energía a principios de los años 1980 con la aparición de la taxonomía de cinco factores de los rasgos de personalidad, que propone que cinco dimensiones son necesarias y suficientes para representar la personalidad humana en términos de rasgos. Ordenadas en orden de magnitud de la varianza que se tiene en cuenta en las valoraciones de la personalidad, las cinco dimensiones son (1) extraversión, energía o entusiasmo; (2) amabilidad, altruismo o afecto; (3) escrupulosidad, control o coacción; (4) neuroticismo, afectividad negativa o nerviosismo; y (5) apertura a la experiencia, originalidad o mentalidad abierta (John y Srivastava 1999) (Kraus et al., 2021).
Aunque la taxonomía de los Cinco Grandes no ha sido aceptada universalmente, hay un acuerdo general en que sirve como un marco integrador útil para pensar en las diferencias individuales a un nivel bastante alto de abstracción. Resulta un tanto sorprendente que el trabajo sobre los Cinco Grandes en psicología —y, en un sentido más general, la preocupación subyacente por estructurar la psicología de los rasgos— haya tenido hasta ahora poco impacto en la investigación sobre el consumo (Shanbhogue y Ranjith, 2024). Una razón para esto podría ser que, para fortalecer la relación entre la personalidad y los aspectos del comportamiento del consumidor, se ha advertido a los investigadores del consumo que “desarrollen sus propias definiciones y diseñen sus propios instrumentos para medir las variables de personalidad que intervienen en la decisión de compra” (Kassarjian y Sheffet 1981, p. 169). Si bien la precisión predictiva puede mejorarse considerandos variables de diferencia individual específicas del dominio, la proliferación de medidas de rasgos ha llevado a una “Babel de conceptos y escalas” (John y Srivastava 1999, p. 102), y existe una necesidad imperiosa de incorporar variables de personalidad particulares en marcos más integrales e integradores (Huang & Yu, 2024).
En los últimos años, ha habido un creciente enfoque en la descripción de los diferentes trastornos del estado de ánimo, impulsado por los intentos de desarrollar una taxonomía clínicamente relevante para los trastornos afectivos mediante la definición de criterios operativos claros para distinguir un trastorno de otro (Pollack, 2005). Esto se ha vuelto complicado debido a la superposición significativa de síntomas entre estos dos tipos de trastornos, como es evidente en el caso de pacientes ansiosos que experimentan síntomas depresivos concurrentes y pacientes deprimidos que presentan síntomas de ansiedad simultáneamente (Awaludin y Al-Khaidar, 2023). El modo en que se diagnostican estos pacientes tiene implicaciones importantes tanto para el tratamiento como para el pronóstico. El surgimiento de las compras grupales en línea proporciona un nuevo patrón de consumo para los consumidores en la era del comercio electrónico. Sin embargo, muchos consumidores se dan cuenta de que a veces sus propios intereses no pueden garantizarse en el mercado de compras grupales debido a la falta de regulación (Jiang et al., 2018).
La teoría de juegos evolutiva es una extensión de la teoría de juegos clásica que busca explicar las propiedades de las poblaciones de organismos del mundo real y los ecosistemas que habitan, describiendo las estrategias de mejora de la aptitud mantenidas por las fuerzas de la evolución (Marsh, 2020). El enfoque propuesto aprovecha la teoría de juegos evolutiva para modelar las interacciones dinámicas entre los proveedores de atención médica, los pacientes y las estrategias de tratamiento. Esto implicó un marco de modelado, que permite explorar decisiones estratégicas que se adaptan a las condiciones cambiantes (Reshi et al., 2023). El aprendizaje profundo, un subcampo de la inteligencia artificial, se integra en el enfoque para mejorar el apoyo a la toma de decisiones (Wu et al., 2024).
Un estilo de vida sostenible es la elección inevitable para mitigar el cambio climático global. Este artículo describe una simulación multiagente para analizar el impacto de las preferencias, los parámetros de ingresos y la intensidad de la interacción en la toma de decisiones de los residentes sobre estilos de vida sostenibles considerando la interacción social (Hameed et al., 2022). Los resultados mostraron que las preferencias influyeron en la elección de los residentes y que los residentes con preferencias de intereses son más susceptibles a la información interactiva (Elhoushy & Lanzini, 2021). Los mayores beneficios pueden inducir a los residentes a practicar un estilo de vida sostenible, mientras que la pérdida de costos y beneficios determina la tendencia macro de la toma de decisiones grupal. Además, se encontró que los nodos grandes (residentes con más vecinos) juegan un papel clave en guiar a los residentes a implementar un estilo de vida sostenible. Estos resultados mejoran nuestra comprensión del impacto de la interacción social en las decisiones individuales de practicar un estilo de vida sostenible (Jiayi y Devasia, 2023). Estos hallazgos podrían facilitar la implementación práctica de estilos de vida sostenibles y proporcionar nuevas formas de lanzar políticas relacionadas con la promoción de estilos de vida sostenibles (Cheng et al., 2019).
Es así que Chen et al. (2025) estudiaron el papel de las decisiones de comportamiento en el evento de compras de pánico de COVID-19 desde la perspectiva de un juego evolutivo. En primer lugar, la actitud del público hacia el desarrollo del evento se divide en dos categorías: aquellos con una actitud negativa y aquellos con una actitud positiva. Al mismo tiempo, se introducen y cuantifican los conceptos de beneficios mentales y costos mentales, que sirven como factores clave en la toma de decisiones públicas. La ecuación dinámica de replicación se construye utilizando la matriz de percepción de beneficios, y se deducen el punto de equilibrio y las condiciones de estabilidad del modelo (Nguyen et al., 2021).
El comportamiento de los pacientes llamados en esta investigación consumidores tiene un impacto significativo en el clima general del mercado o sociedad. El propósito de este artículo es descubrir el patrón evolutivo del comportamiento de ansiedad-depresión que presenta un consumidor y minimizar su aparición (Tao et al., 2023). Para explorar un punto focal de interés, las condiciones de equilibrio de las estrategias y el proceso de evolución de comportamiento, se construye un modelo de juego evolutivo a través de dos caras, conformado por consumidores con características de ansiedad-depresión y consumidores que no presentan es tipo de trastornos. Los resultados experimentales del análisis de estabilidad y la dinámica de sistemas muestran que existen dos estados estables en los cuatro casos (comportamiento seguro, gestión negativa) y (comportamiento inseguro, gestión negativa) (Cao & Huang, 2022).
Cuanto menor sea la disposición inicial de los consumidores a comportarse de manera insegura, más rápido alcanzarán un estado estable seguro en sus decisiones. Por el contrario, las elecciones estratégicas de los consumidores que no tienen este tipo de trastornos tienen un cierto retraso en las mismas. Si se busca disuadirse a los consumidores de elegir comportamientos inseguros tanto por el incentivo positivo de aumentar las bonificaciones como por el incentivo negativo al aumentar las multas. La sensibilidad de los dos incentivos es similar. En el caso de la pérdida por riesgo de efectos indirectos, cuando se controla eficazmente durante una atención segura, los consumidores rápidamente se inclinan hacia un comportamiento seguro. Estos hallazgos proporcionan una referencia para la gestión de la seguridad del consumidor. Así, con el fin de reducir conductas inseguras y lograr un círculo virtuoso del clima de seguridad, se propuso varias sugerencias prácticas desde tres perspectivas: el consumidor, miembros de mercado y el ambiente de seguridad de los consumidores con estos trastornos.
1.1. Rasgos de personalidad: el consumidor disposicional
Después de la incisiva crítica de Mischel (1968) a los enfoques basados en rasgos, el campo de estudio experimento un renacimiento a principios de los años 1980 con el surgimiento de la taxonomía de la teoría de rasgos, siendo lo más popular el modelo de cinco dimensiones. Este modelo propone que cinco dimensiones necesarias y suficientes para representar la personalidad humana en términos de rasgos. Estas dimensiones están organizadas de acuerdo a la magnitud de la variación considerada en las calificaciones de personalidad y son las siguientes: (1) extraversión, energía o entusiasmo; (2) amabilidad, altruismo o afecto; (3) escrupulosidad, control o restricción; (4) neuroticismo, afectividad negativa o nerviosismo; y (5) apertura a la experiencia, originalidad o mentalidad abierta (Garbarski, 2012).
1.2. Preocupaciones personales: el consumidor que busca objetivos
Un segundo avance importante en la psicología de la personalidad ha sido el énfasis en el lado activo de la personalidad, que se centra en conceptos motivacionales de nivel medio, como los esfuerzos personales (Emmons 1989), los proyectos personales (Little 1989) y las tareas de la vida (Cantor 1990). Little (1999) ha llamado a esta nueva orientación la revolución conativa en psicología de la personalidad (Lee, 2017). Los esfuerzos personales son cosas que las personas normalmente intentan hacer, los proyectos personales son secuencias de actos interrelacionados que las personas realizan para lograr alguna meta, y las tareas de la vida son problemas en los que las personas están trabajando durante alguna etapa de sus vidas (particularmente durante las transiciones de la vida) (Baumgartner, 2002).
Aunque existen diferencias sutiles entre estos constructos de acción personal, comparten la suposición común de que la personalidad se entiende mejor en términos de las metas que las personas persiguen en sus vidas y los efectos que estas búsquedas de metas tienen en resultados personales como el bienestar. En comparación con los rasgos, las preocupaciones personales son de naturaleza más idiográfica, más estrechamente ligadas al comportamiento y más altamente contextualizadas.
1.3. Factores que influyen en el comportamiento del consumidor
Hoy en día, la toma de decisiones se ha vuelto más compleja y se considera muy importante para los consumidores. Esto se debe al rápido cambio del entorno empresarial global competitivo. Los consumidores están expuestos a campañas publicitarias, fuentes de noticias y correo directo que alimentan una abundante información; la mayoría de ella tiene demasiados mensajes contradictorios. Además de eso, el creciente número y la elección de productos, puntos de venta y centros comerciales, y la disponibilidad de productos multicomponentes y facilidades de compra electrónica han ampliado la esfera de opciones de los consumidores. Esto hace que la toma de decisiones sea más complicada (Hafstrom et al., 1992) (Agrawal et al., 2024).
Además, hoy en día, hay productos más sofisticados y complejos, lo que reduce las diferencias entre marcas y aumenta las falsificaciones y los productos que se parecen, por lo que algunos consumidores se sienten abrumados y les resulta difícil decidir (Mitchell, 2001). La elaboración de perfiles del proceso de toma de decisiones de los consumidores se centra en los estudios de la mayoría de los intereses de los consumidores (Sproles, 1985). Los profesionales de asuntos del consumidor utilizan dichos perfiles para comprender el comportamiento de compra de los consumidores, mientras que los anunciantes y los investigadores de marketing los utilizan para segmentar a los consumidores en varios segmentos para el posicionamiento del producto (Srinivas, Steven y Andrews, 1993).Las compras de los consumidores están fuertemente influenciadas por características culturales, sociales, personales y psicológicas (Shemshaki et al., 2024).
Mowen (2000) ha propuesto recientemente un modelo metateórico de motivación y personalidad, llamado 3M, que busca integrar parsimoniosamente el trabajo fragmentado sobre las diferencias individuales en el comportamiento del consumidor dentro de un marco general. Mowen considera cuatro niveles jerárquicos de rasgos que indican consistencias conductuales sucesivamente más estrechas: rasgos elementales (los cinco grandes factores más las necesidades materiales, las necesidades físicas/corporales y la necesidad de excitación), rasgos compuestos (por ejemplo, orientación a la tarea, necesidad de aprendizaje, competitividad, necesidad de actividad, necesidad de juego y autoeficacia general), rasgos situacionales (por ejemplo, motivación por la salud, conciencia de valores) y rasgos superficiales (por ejemplo, propensión a la negociación, estilos de vida con dietas saludables) (Zaman y Kusi, 2024). La principal preocupación de Mowen parece ser el desarrollo de escalas para medir los rasgos elementales y los seis compuestos, pero también describe varios estudios que relacionan rasgos superficiales como la propensión a la negociación con otros rasgos en niveles superiores de la jerarquía (Shaw, 2024).
Factores psicológicos
Jisana (2014) explica que los factores psicológicos desempeñan un papel crucial en la influencia del comportamiento de compra del consumidor. Los elementos mencionados son motivación, percepción, aprendizaje, creencias y actitudes.
Motivación: el grado de motivación también influye en la conducta de adquisición de los clientes. Cada individuo posee necesidades distintas, tales como requerimientos fisiológicos, biológicos, sociales, entre otros. La esencia de las necesidades radica en que algunas son más apremiantes mientras que otras son menos apremiantes. Así pues, una necesidad se transforma en razón cuando es más urgente orientar al individuo a buscar satisfacción (Victor et al., 2018).
La Teoría de la Motivación de Maslow (1987) describe el motivo por el cual los individuos se sienten motivados por necesidades específicas en instantes específicos. Maslow ordenó las necesidades humanas en función de su relevancia. Son requerimientos fisiológicos, requerimientos de protección, requerimientos sociales, requerimientos de valoración y requerimientos de autorrealización. Una persona busca primero cubrir la necesidad más esencial. Cuando se satisfaga esa necesidad, dejará de ser un estímulo y el individuo procurará satisfacer la siguiente necesidad relevante (Barbu et al., 2022).
Percepción: se conoce como percepción a la elección, organización e interpretación de información que genera una experiencia relevante del mundo. Lo que una persona considera acerca de un producto o servicio específico es su visión sobre él. Es posible que individuos con necesidades parecidas no adquieran productos parecidos debido a una variación en la percepción. Existen tres procesos distintos de percepción: la atención selectiva, la distorsión selectiva y la retención selectiva (Boca, 2021).
Si se realiza una atención selectiva, los individuos enfocan su atención en la información que les resulta beneficiosa a ellos mismos o a sus parientes cercanos. Por otro lado, en situaciones de distorsión selectiva, los consumidores suelen interpretar la información de forma que concuerda con sus pensamientos y convicciones preexistentes (Han, 2020). Para la retención selectiva, los consumidores recuerdan datos que les resultarían útiles y los conservan hasta que lo olvidan en el momento adecuado (Robinson, 2003).
Aprendizaje: los consumidores pueden adquirir conocimientos de varias fuentes, como su experiencia personal, sugerencias, evaluaciones, publicidad, entre otras. Este elemento psicológico tiene impacto al tomar decisiones y adquirir productos, ya que el consumidor los aprecia calculando en la información y vivencias que ha adquirido acerca de ellos (Schiffman, 2012).
Creencias y actitudes: el cliente tiene convicciones y posturas particulares respecto a diferentes productos. Ya que estas convicciones y posturas constituyen la imagen de la marca e influyen en el comportamiento de compra del consumidor, los expertos en marketing se interesan en ellas. Los expertos en marketing tienen la capacidad de modificar las convicciones y posturas de los clientes mediante el lanzamiento de campañas específicas en esta área (Herzog et al., 2013).
1.4. Modelos de comportamiento de compra del consumidor
Para el proceso de análisis del modelo de juego evolutivo se aplican dos modelos, que explicados por Jisana (2014) son:
· Modelo económico: el modelo se enfoca en la noción de que el patrón de adquisición de un consumidor se fundamenta en el concepto de maximizar el beneficio reduciendo los costos. Así, es posible anticipar la conducta del consumidor a partir de indicadores económicos como la capacidad de compra del consumidor y el costo de productos competitivos (Nakalinda, 2018). Por ejemplo, un cliente adquirirá un producto parecido a un costo más reducido para maximizar las ganancias; un incremento en la capacidad de compra de un consumidor le facilitará incrementar la cantidad de los productos que adquiere (Țoniș y Blăjină, 2019).
· Modelo psicoanalítico: este modelo considera que la conducta del consumidor se ve afectada tanto por la mente consciente como por la subconsciente. Los tres niveles de conciencia que Sigmund Freud discutía (id, ego y superego) operan para tener un impacto en las decisiones y conductas de adquisición. Un símbolo encubierto en el nombre o emblema de una compañía puede impactar en la mente subconsciente de un individuo y puede persuadirle a adquirir ese producto en vez de un producto parecido a otra compañía (Toha y Supriyanto, 2023).
2. MÉTODOLOGÍA
Este estudio adopta un método de investigación híbrido que incluye dos pasos principales. En el primer se realiza un análisis progresivo del juego, que consiste en la creación de un juego evolutivo utilizando una la matriz de pagos y las ecuaciones dinámicas del replicador de ambos lados. En el segundo paso, se realiza un análisis de estabilidad para identificar y enumerar las condiciones para que el sistema se mantenga estable, mediante un enfoque estándar mínimo seguro de la conservación de las decisiones.
Supuestos del modelo
Este artículo examina la relación entre los encargados de la seguridad en las decisiones y los consumidores. Los dos participantes probarán diversas tácticas a lo largo del tiempo y optarán por una estrategia específica de estabilización. Las estrategias de los grupos de consumidores incluyen “comportamiento seguro” y “comportamiento inseguro” y los responsables de la seguridad de las decisiones (el mercado) de “atención positiva” y “atención negativa”.
Supuesto 1. Los principales actores del juego son los consumidores y el mercado, y ambos son agentes económicos racionales que toman decisiones basadas en un análisis de costo-beneficio. En este proceso de juego asimétrico, mediante el aprendizaje constante y el ensayo y error, los dos grupos heterogéneos pueden decidir su propia estrategia de estabilización. Los consumidores no siempre respetan conscientemente las reglas operativas del mercado. El "comportamiento inseguro" se refiere a la violación del sistema y las normas de seguridad que pueden causar el mercado al ofrecer sus productos.
Supuesto 2. La posibilidad de que los consumidores se comporten de manera insegura es alta ω ( ω ϵ [0,1]), y la probabilidad de que los consumidores adopten un comportamiento seguro es (1 - ω ). El salario normal de los consumidores es de 1 profit. Cuando los consumidores no trabajan en su trastorno de acuerdo con las especificaciones, la pérdida de riesgo para ellos mismo es ∀11, mientras que la pérdida de riesgo para los otros miembros del mercado es ∀21. Al mismo tiempo, los consumidores sólo son penalizados ϖ si los miembros del mercado no utilizan una estrategia positiva. Cuando los consumidores cumplen con las especificaciones de estabilidad emocional segura, ES1, su pérdida de riesgo representa el 1, ∀11, mientras que el 2, ∀21, se refiere al riesgo de pérdida de los otros miembros del mercado. Una vez que los consumidores completen su compra de manera segura y eficiente, recibirán un incentivo Θ independientemente de la fuerza de la supervisión del mercado.
Supuesto 3. La probabilidad de que los miembros del mercado adopten una gestión positiva es φ (φ ϵ [0,1]), y la probabilidad de que los consumidores adopten una gestión negativa es (1 - φ). El salario normal de los miembros del mercado es de 2 profits. Cuando los miembros del mercado eligen atender positivamente, ES2, se refiere a su estabilidad emocional segura. Cuando los miembros del mercado eligen tratar negativamente, ξ se refiere a la pérdida económica causada por la imagen negativa y la reducción de la credibilidad después de la exposición de la mala conducta de los miembros del mercado.
3. RESULTADOS Y DISCUSIÓN
El juego evolutivo trata sobre la interacción y el proceso iterativo de estrategias de comportamiento. En el juego, los jugadores eligen diferentes estrategias de comportamiento y, por lo tanto, obtienen el correspondiente "retorno". En el sistema de gestión de la seguridad, consumidores con características de ansiedad-depresión y miembros del mercado, son partes interesadas cercanas, y existe un problema de juego entre los dos en términos de opciones estratégicas; mientras que los miembros del mercado no tienen este tipo de trastornos, estos tienen su nivel de seguridad a la hora de vender sus productos.
Bajo la premisa de racionalidad limitada e información asimétrica, puede resultar difícil para estos dos actores tomar las mejores decisiones para maximizar sus propios intereses. Para garantizar un estado emocional estable y evitar pérdidas innecesarias, el consumidor optaría por no tener episodios positivos o negativos. Teniendo en cuenta que este tipo de consumidores necesitan tranquilidad, el consumidor puede elegir un comportamiento seguro o inseguro. Estos dos órganos ajustarían su toma de decisiones prediciendo el comportamiento estratégico del otro, para obtener el punto de equilibrio final del juego.
En teoría, los costos y los ingresos también están relacionados con varios otros factores. Sin embargo, este artículo se centra en los efectos de los mecanismos de incentivos y el grado de riesgo en el comportamiento de los consumidores. El incentivo Θ y la penalización por inseguridad ϖ representan la fuerza de los dos estímulos para los miembros del mercado en las direcciones positiva y negativa, respectivamente. Para simplificar y refinar el modelo, se supone que los salarios base de los consumidores y los miembros del mercado permanecen constantes, y que la pérdida de riesgo bajo un comportamiento inseguro es mayor que bajo un comportamiento seguro. Las variables y sus significados se muestran en la Tabla 1.
Tabla 1
Descripción de símbolos de las variables

De acuerdo con la teoría del juego evolutivo bilateral y la relación anterior entre consumidores y demás miembros del mercado, este artículo enumera la matriz de ganancias de ambos lados del juego bajo cuatro combinaciones de estrategias diferentes, como se muestra en la Tabla 2. El pago del consumidor (el jugador de la “columna”) está representado por las entradas que preceden al punto y coma; el de miembros del mercado (el jugador de “fila”) está representado por las entradas después del punto y coma.
Tabla 2
Matriz de pagos de ambos lados del juego

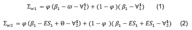
Sean Σw1 y Σw2 respectivamente, los ingresos esperados por “comportamiento inseguro” y “comportamiento seguro” para los consumidores. Según la Tabla 2, los beneficios de los consumidores con las dos estrategias de comportamiento diferentes son los de las ecuaciones (1) y (2).

El ingreso promedio de los consumidores se denota (E ̅w) como la ecuación (3).
![]()
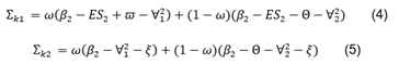
De manera similar, Σk1 y Σk2 son las ganancias esperadas de la “atención positiva” y la “atención negativa” para los miembros del mercado. Según la Tabla 2, los beneficios del resto del mercado las dos estrategias de comportamiento diferentes son los de las ecuaciones (4) y (5).

Así, el ingreso promedio de los miembros del mercado se denota como (E ̅k). En la ecuación (6).
![]()
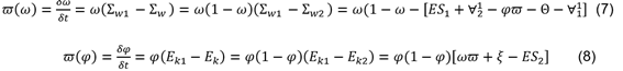
En la evolución del comportamiento de inseguridad, los dos jugadores ajustarán sus estrategias mediante el aprendizaje y un proceso de prueba y error, recreando así el proceso de replicación dinámica descrito por la teoría evolutiva de los juegos. La ecuación de la dinámica del replicador es una ecuación diferencial dinámica que esencialmente determina con qué frecuencia se adopta o acepta una estrategia particular dentro de una población. Por lo tanto, la ecuación dinámica replicadora de “comportamiento inseguro” elegida por los compradores ϖ (ω) y la ecuación dinámica replicadora de “atención positiva” elegida por los miembros del mercado ϖ (φ) son las ecuaciones (7) y (8).

4. CONCLUSIONES
La evaluación del impacto de la salud mental en los patrones de conducta del consumidor, a través de la teoría de juegos, puesto que puede influir en sus preferencias y su aversión al riesgo. Un consumidor con problemas de salud mental puede tender a estrategias en las que se genere menor estrés o ansiedad, aunque las ganancias económicas sean más bajas. Se destaca que la disposición inicial de los consumidores a comportarse de manera segura desempeña un papel crucial en la rapidez con la que alcanzan un estado estable seguro. Además, la combinación de estímulos positivos y negativos tiene un impacto significativo en la elección de comportamientos seguros. Estos hallazgos ofrecen valiosas perspectivas tanto para los consumidores con trastornos de salud mental como para aquellos que no los tienen. Se proponen sugerencias prácticas desde diversas perspectivas para reducir conductas inseguras y fomentar un entorno de seguridad en el mercado. Además, el enfoque metodológico empleado, que combina el análisis evolutivo del juego y la valoración de la estabilidad del sistema ofrece una base firme para entender y tratar esta dinámica compleja y compleja. En última instancia, este estudio ofrece un camino hacia un círculo virtuoso de seguridad del consumidor que beneficia a todos los actores involucrados.
REFERENCIAS
Agrawal, P., Ibrahim, V. A. J., Vyas, P. G., & Mukherjee, S. (2024). A Study on Factors Influencing Buying Behaviour of Consumers Towards Financial Products in India. Journal of Informatics Education and Research, 4(2), Article 2. https://doi.org/10.52783/jier.v4i2.820
Awaludin, A. A., & Al-Khaidar, M. A. (2023). Opinion Leaders and Boycott Intentions: Factors Influencing Consumer Behavior in Support of Israel Boycott. Journal of Digital Marketing and Halal Industry, 5(2), Article 2. https://doi.org/10.21580/jdmhi.2023.5.2.20166
Barbu, A., Catană, Ștefan-A., Deselnicu, D. C., Cioca, L.-I., & Ioanid, A. (2022). Factors Influencing Consumer Behavior toward Green Products: A Systematic Literature Review. International Journal of Environmental Research and Public Health, 19(24), Article 24. https://doi.org/10.3390/ijerph192416568
Baumgartner, H. (2002). Toward a Personology of the Consumer: Figure 1. Journal of Consumer Research, 29(2), 286-292. https://doi.org/10.1086/341578
Boca, G. D. (2021). Factors Influencing Consumer Behavior in Sustainable Fruit and Vegetable Consumption in Maramures County, Romania. Sustainability, 13(4), Article 4. https://doi.org/10.3390/su13041812
Cao, X., & Huang, Y. (2022). The Applications of Psychological Effects in Game Design and Suggestions for Parents and Teenagers. 1150-1154. https://doi.org/10.2991/assehr.k.220105.211
Chen, T., Wu, X., Wang, B., & Yang, J. (2025). The role of behavioral decision-making in panic buying events during COVID-19: From the perspective of an evolutionary game based on prospect theory. Journal of Retailing and Consumer Services, 82, 104067. https://doi.org/10.1016/j.jretconser.2024.104067
Cheng, X., Long, R., Chen, H., & Yang, J. (2019). Does social interaction have an impact on residents’ sustainable lifestyle decisions? A multi-agent stimulation based on regret and game theory. Applied Energy, 251, 113366. https://doi.org/10.1016/j.apenergy.2019.113366
Elhoushy, S., & Lanzini, P. (2021). Factors Affecting Sustainable Consumer Behavior in the MENA Region: A Systematic Review. Journal of International Consumer Marketing, 33(3), 256-279. https://doi.org/10.1080/08961530.2020.1781735
Garbarski, L. (2012). Ocena sprawności marketingu. Handel Wewnętrzny, nr specjalny (wrzesień-październik) t. 1 Perspektywy rozwoju marketingu : teoria, pomiar, zarządzanie, dydaktyka, 68-76. http://bazekon.icm.edu.pl/bazekon/element/bwmeta1.element.ekon-element-000171631088
Hameed, I., Khan, K., Waris, I., & Zainab, B. (2022). Factors influencing the sustainable consumer behavior concerning the recycling of plastic waste. Environmental Quality Management, 32(2), 197-207. https://doi.org/10.1002/tqem.21815
Han, S.-S. (2020). A Factors Effecting Online Social Decisions in Online Consumer Behavior. Journal of Distribution Science, 18(3), 67-76. https://doi.org/10.15722/jds.18.3.202003.67
Herzog, R., Álvarez-Pasquin, M. J., Díaz, C., Del Barrio, J. L., Estrada, J. M., & Gil, Á. (2013). Are healthcare workers’ intentions to vaccinate related to their knowledge, beliefs and attitudes? A systematic review. BMC Public Health, 13(1), 154. https://doi.org/10.1186/1471-2458-13-154
Huang, Y., & Yu, D. (2024). Consumer personality, online social interaction, and deep online consumption behavior. Scientific Reports, 14(1), 29357. https://doi.org/10.1038/s41598-024-80667-w
Jiang, Z.-Z., He, N., Qin, X., Ip, W. h., Wu, C. h., & Yung, K. l. (2018). Evolutionary game analysis and regulatory strategies for online group-buying based on system dynamics. Enterprise Information Systems, 12(6), 695-713. https://doi.org/10.1080/17517575.2017.1412503
Jiayi, C., & Devasia, S. N. (2023). Factors Influencing Consumer Behavior in Preference for Douyin (TIKTOK) in China. Journal of Business and Social Sciences, 2023. https://iuojs.intimal.edu.my/index.php/jobss/article/view/418
Jisana, T. K. (2014). Consumer behaviour models: An overview. Sai Om Journal of Commerce & Management, 1(5), 34-43. https://citeseerx.ist.psu.edu/document?repid=rep1&type=pdf&doi=ef54146370ef2e3e015f182092d8b816efbf4306
Kraus, J., Scholz, D., & Baumann, M. (2021). What’s Driving Me? Exploration and Validation of a Hierarchical Personality Model for Trust in Automated Driving. Human Factors, 63(6), 1076-1105. https://doi.org/10.1177/0018720820922653
Lee, H. J. (2017). Help seeking consumers: Conceptual framework and empirical investigation. http://hdl.handle.net/2152/63028
Maina, G., Mauri, M., & Rossi, A. (2016). Anxiety and depression. Journal of Psychopathology, 22(4), 236-250. https://iris.unito.it/bitstream/2318/1634557/1/04_Mauri-Maina-Rossi-1.pdf
Marsh, T. (2020). Evolutionary Game Theory. En V. Zeigler-Hill & T. K. Shackelford (Eds.), Encyclopedia of Personality and Individual Differences (pp. 1437-1440). Springer International Publishing. https://doi.org/10.1007/978-3-319-24612-3_1631
Maslow, A. (1987). Teorías de la motivación. Carlos López, 7. https://www.academia.edu/download/35084447/Teoria_de_la_motivacion._Autoestima.pdf
Nakalinda, A. (2018). Factors Influencing Consumer Buying Behaviour of Fast Fashion in the UK (SSRN Scholarly Paper 3791377). Social Science Research Network. https://doi.org/10.2139/ssrn.3791377
Nguyen, L., Nguyen, V.-T., & Hoang, U. T. (2021). Factors Influencing Consumer Behavior Towards Green Consumption: An Empirical Study in Vietnam. The Journal of Asian Finance, Economics and Business, 8(10), 197-205. https://doi.org/10.13106/jafeb.2021.vol8.no10.0197
Pollack, M. H. (2005). Comorbid anxiety and depression. Journal of Clinical Psychiatry, 66, 22. https://www.psychiatrist.com/wp-content/uploads/2021/02/11964_comorbid-anxiety-depression.pdf
Reshi, I. A., Dar, S. A., & Ansar, S. S. (2023). An Empirical Study on the Factors Affecting Consumer Behavior in the Fast-Food Industry. Journal of Accounting Research, Utility Finance and Digital Assets, 1(4), Article 4. https://doi.org/10.54443/jaruda.v1i4.58
Robinson, H. (2003). Perception. Routledge. https://books.google.es/books?hl=es&lr=&id=gIyBAgAAQBAJ&oi=fnd&pg=PP1&dq=Perception&ots=_SZD1Du_fl&sig=grObhVFbzl354w8wI7YsF835DMg
Schiffman, L. G. (2012). Consumen Behavior. New Jersey: Prentice Hall. Inc.
Shanbhogue, A. V., & Ranjith, V. K. (2024). Effects of Consumer Dispositional Attitude on Purchase Intention in an Emerging Market. F1000Research, 12, 384. https://doi.org/10.12688/f1000research.131103.3
Shaw, N. (2024). A Study of the Factors Influencing Consumer Behaviour. Global Research Journal of Social Sciences and Management, 48-58. https://grjssm.ci-stem.org/doc/Jan-Jun-2024/Vol-2_Issue-1_Paper_5_Neha_PP_48-58.pdf
Shemshaki, M., Ghasemi, Y., Homayouni, S., Salvati, Z., Dinarvand, M., & Kaviani, S. (2024). Examining Factors Affecting Consumer Behavior by Considering the Role of Personality and Behavioral Characteristics. Power System Technology, 48(2), 1714-1734.
https://cognitioncommerce.ca/wp-content/uploads/2024/08/examining-factors-affecting-consumer-behavior-by-considering-personality.pdf
Tao, C., Chen, X., Zheng, W., Zhang, Z., Tao, R., Deng, R., & Xiong, Q. (2023). How to promote the hierarchical diagnosis and treatment system: A tripartite evolutionary game theory perspective. Frontiers in Psychology, 13. https://doi.org/10.3389/fpsyg.2022.1081562
Toha, M., & Supriyanto, S. (2023). Factors Influencing The Consumer Research Process: Market Target, Purchasing Behavior and Market Demand (Literature Review Of Consumer Behavior). Danadyaksa: Post Modern Economy Journal, 1(1), Article 1. https://doi.org/10.69965/danadyaksa.v1i1.5
Țoniș, R., & Blăjină, O. (2019). Factors Influencing Online Consumer Behavior in the Era of IoT. Materials Science Forum, 957, 81-89. 9th International Conference on Advanced Manufacturing Technologies & International Conference on Technologies for Polymeric and Composite Products. https://doi.org/10.4028/www.scientific.net/MSF.957.81
Victor, V., Joy Thoppan, J., Jeyakumar Nathan, R., & Farkas Maria, F. (2018). Factors Influencing Consumer Behavior and Prospective Purchase Decisions in a Dynamic Pricing Environment—An Exploratory Factor Analysis Approach. Social Sciences, 7(9), Article 9. https://doi.org/10.3390/socsci7090153
Wu, Y., Chen, B., Cai, H. H., Wang, D., & Yuan, Q. (2024). Evolutionary game theoretic approach with deep learning for health decision-making in critical environment. Annals of Operations Research. https://doi.org/10.1007/s10479-024-06353-2
Zaman, S. I., & Kusi, S. (2024). Identifying and exploring the relationship among the critical success factors of sustainability toward consumer behavior. Journal of modelling in management, 19(2), 492-522.
https://www.emerald.com/insight/content/doi/10.1108/JM2-06-2022-0153/full/html